KADAR FLAVONOID TOTAL

LARUTAN UJI UNTUK SIMPLISIA

  1. Timbang saksama kurang lebih 1g serbuk simplisia
  2. Masukkan ke dalam labu Erlenmeyer, tambahkan 25 mL etanol P
  3. Ekstraksi selama 1 jam dengan pengaduk magnetik
  4. Saring ke dalam labu tentukur 25 mL
  5. Bilas kertas saring dengan etanol 70% LP
  6. Tambahkan etanol 70% LP sampai tanda

LARUTAN UJI UNTUK EKSTRAK

  1. Timbang saksama kurang lebih 0,2 g ekstrak
  2. Masukkan ke dalam labu Erlenmeyer, tambahkan 25 mL etanol P
  3. Aduk selama 30 menit dengan pengaduk magnetik
  4. Saring ke dalam labu tentukur 25 mL
  5. Tambahkan etanol P melalui penyaring sampai tanda.

LARUTAN PEMBANDING

  1. Timbang saksama kurang lebih 10 mg pembanding
  2. Masukkan ke dalam labu tentukur 25 mL
  3. Larutkan dan tambahkan etanol P sampai tanda
  4. Buat seri pengenceran larutan pembanding dengan kadar berturut-turut 100, 75, 50 dan 25 μg/mL.

PROSEDUR

  1. Pipet secara terpisah 0,5 mL Larutan uji dan masing-masing seri Larutan pembanding ke dalam wadah yang sesuai
  2. Tambahkan 1,5 mL etanol P
  3. Tambahkan 0,1 mL aluminium klorida P 10%
  4. Tambahkan 0,1 mL natrium asetat 1 M
  5. Tambahkan 2,8 mL air
  6. Kocok dan diamkan selama 30 menit pada suhu ruang
  7. Ukur serapan pada panjang gelombang serapan maksimum.
  8. Lakukan pengukuran blangko dengan cara yang sama, tanpa penambahan aluminium klorida
  9. Buat kurva kalibrasi dan hitung kadar Larutan uji.

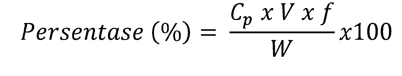
RUMUS PERHITUNGAN

RumusKadar

Keterangan:

Persentase = Kadar dalam persen (%)
Cp = kadar larutan pembanding
V = Volume Larutan (mL)
f = Faktor pengenceran
W = Bobot bahan uji

KALKULATOR

Cp : mg/L
V : L
f :
W : mg

Sumber:

Kementerian Kesehatan Republik Indonesia. 2017. Farmakope Herbal Indonesia Edisi II. Jakarta: Kementerian RI.