KADAR TANIN

LARUTAN UJI UNTUK SIMPLISIA

  1. Timbang saksama kurang lebih 500 mg serbuk simplisia
  2. Masukkan ke dalam refluks, tambahkan etanol 70% P secukupnya
  3. Ekstraksi selama 30 menit
  4. Saring ke dalam labu tentukur 10 mL
  5. Ulangi ekstraksi dan penyaringan sebanyak 2 kali lagi
  6. Gabungkan filtrat dan diuapkan pada suhu 105 derajat celcius sampai bobot tetap
  7. Larutkan dengan etil asetat P secukupnya
  8. Sonifikasi selama 5 menit
  9. Pipet 2 mL larutan dan masukkan dalam labur Erlenmeyer bersumbat 100 mL
  10. Tambahkan 50 mL etil asetat P
  11. Sonifikasi kembali selama 5 menit

LARUTAN UJI UNTUK EKSTRAK

  1. Timbang saksama kurang lebih 50 mg ekstrak
  2. Keringkan pada suhu 105 derajat celcius sampai bobot tetap
  3. Masukkan ke dalam labu tentukur 50 mL
  4. Larutkan dengan etil asetat P secukupnya
  5. Sonifikasi selama 5 menit
  6. Pipet 2 mL larutan dan masukkan dalam labur Erlenmeyer bersumbat 100 mL
  7. Tambahkan 50 mL etil asetat P
  8. Sonifikasi kembali selama 5 menit

LARUTAN PEMBANDING

  1. Keringkan katekin dalam oven pada suhu 105 derajat celcius sampai bobot tetap
  2. Timbang seksama kurang lebih 50 mg
  3. Larutkan dengan etil asetat P secukupnya
  4. Sonifikasi selama 5 menit
  5. Pipet 2 mL larutan dan masukkan dalam labur Erlenmeyer bersumbat 100 mL
  6. Tambahkan 50 mL etil asetat P
  7. Sonifikasi kembali selama 5 menit

PROSEDUR

  1. Larutan blanko yang digunakan adalah etil asetat P
  2. Ukur serapan Larutan Pembanding, Larutan Uji dan Larutan Blanko ecara spektrofotometri
  3. Gunakan panjang gelombang 279 nm dan 300 nm
  4. Serapan Larutan uji pada 300 nm tidak boleh lebih dari 0,03
  5. Hitunglah persentase katekin pada ekstrak pada panjang gelombang serapan maksimum kurang lebih 279 nm

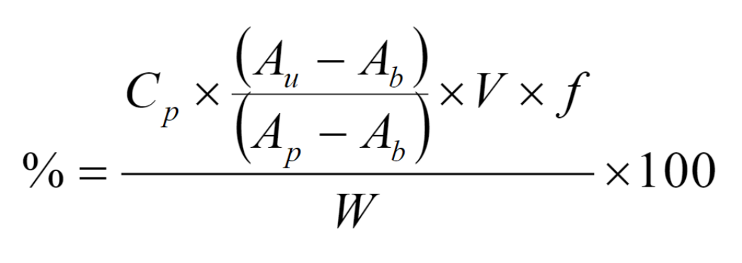
RUMUS PERHITUNGAN SERBUK SIMPLISIA

RumusKadar

Keterangan:

Persentase = Kadar dalam persen (%)
Cp = kadar larutan pembanding
Au = Serapan Larutan uji
Ap = Serapan Larutan pembanding
Ab = Serapan Larutan blangko
V = Volume Larutan Uji sebelum pengenceran(mL)
f = Faktor pengenceran Larutan Uji
W = Bobot bahan uji

RUMUS PERHITUNGAN EKSTRAK

RumusKadar

Keterangan:

Persentase = Kadar dalam persen (%)
Cu = kadar larutan uji
Cp = kadar larutan pembanding
Au = Serapan Larutan uji
Ap = Serapan Larutan pembanding
Ab = Serapan Larutan blangko
f = Faktor pengenceran Larutan Uji
W = Bobot bahan uji

Sumber:

Kementerian Kesehatan Republik Indonesia. 2017. Farmakope Herbal Indonesia Edisi II. Jakarta: Kementerian RI.